United Statesからアクセスされていますが、言語設定をEnglishに切り替えますか?
Switch to English site
Skip to main content

【参考回路例】Renesas社のインダクティブポジションセンサ、IPS2550

DesignSparkのサービスの一つである「DesignSparkリファレンスデザイン」では様々な回路基板のCADデータや部品表を公開しています。

本ページでは高速モーションの位置検出回路のシミュレーションデータを公開しています。
ルネサスのセンサIC「IPS2550」は、磁石を使わない誘導型位置センサ(インダクティブポジションセンサ)です。自動車、産業、医療、民生用アプリケーションにおける高速モーションの位置検出機能を実現できます。渦電流の原理を利用して、1つの送信用コイルと2つの受信用コイルを組み合わせた部分上を移動する、金属の位置を検出します。

検出スペック

VEL 600,000 RPM Max.
精度(3.3V) +/- 0.2 %FS
精度(5.0V) +/- 0.1 %FS
温度上下限 -40C to 160C

詳しくはIPS2550のデータシートをご覧ください。IPS2550のようなモーションセンサICは、RSのWebサイトから購入可能です

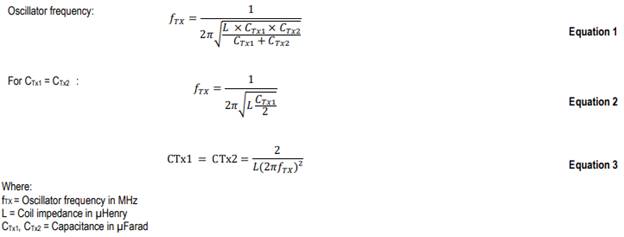
共振周波数は、送信側コイル L とコンデンサ CTx1、CTx2の値から、以下の式で決まります。

oscillator frequency

以下にIPS2550を使った角度追尾回路を示します。この参考回路は動的シミュレーションが可能な回路になっています。回路図中央の矢印ボタンで回路が表示でき、その後各部品のパラメータを変更することで動的に回路の動作をシミュレーションすることが可能です。

この回路では、IPS2550が0から2*Pi(6.28ラジアン)まで、0.2msで1回転するシャフトをセンシングできます。これは300,000RPMに相当します。ほとんどの部品のパラメータはこのページの閲覧者によって変更できます。各種パラメータが回転角度センシングにどのように影響を及ぼすのかを確認することができます。

例えば、インダクティブポジションセンサ(IPS)の「形状(ここでは1回転当たりの電気サイクル)」や、発信周波数を設定するセンサのインダクタンスと外部静電容量値、入力電源電圧(Vdd)、アナログローパスフィルタの容量、量子化ビット数、角度検出アルゴリズムのサンプルレートなどを変更してみてください。

ぜひお試しを!

IPSのパラメータ「n」(シャフト1回転当たりの目標電気サイクル)を1から2に変更してシミュレーションを実行すると、有効な最大「電気」回転数である600,000RPMでのシステムのパフォーマンスが理解できます。また、ローパスフィルタのコンデンサを様々な値に変更することで、復調ノイズの低減だけでなく、回転角度の遅延や位相ずれの影響を確認することも可能です。

ぜひ、色々と動かして、他のシステム構成も自由に試してみてください。波形(スコープ)プローブを動かして、回路図上の配線部分や、コンポーネント内部の信号を確認することもできます。

RS DesignSpark is the go-to platform for professional design engineers, providing application and product content and design resources such as the award winning DesignSpark PCB and DesignSpark Mechanical CAD software.
DesignSpark Logo

DesignSparkアカウントを作成しませんか?

アカウントを作成すると、高機能な基板CADや使いやすい3次元CADが無料で使えるだけでなく、数千万点超の部品のCADライブラリやフットプリントや3Dモデルを検索しダウンロードできます。
アカウントを作成

アカウント作成済みの方はこちらからログイン

コメント